| 일 | 월 | 화 | 수 | 목 | 금 | 토 |
|---|---|---|---|---|---|---|
| 1 | 2 | 3 | 4 | 5 | 6 | |
| 7 | 8 | 9 | 10 | 11 | 12 | 13 |
| 14 | 15 | 16 | 17 | 18 | 19 | 20 |
| 21 | 22 | 23 | 24 | 25 | 26 | 27 |
| 28 | 29 | 30 | 31 |
- 코루틴
- GitHub
- 쿠링
- Gradle
- relay
- 백준
- Compose
- Rxjava
- androidStudio
- MyVoca
- pandas
- 코드포스
- Coroutine
- TEST
- Coroutines
- activity
- Kotlin
- livedata
- Python
- 암호학
- Codeforces
- android
- textfield
- AWS
- ProGuard
- MiTweet
- 프로그래머스
- boj
- Hilt
- architecture
- Today
- Total
이동식 저장소
1766. 문제집 본문
이거 하나 푸느라 4일동안 다른 생각을 못 했다. 지금의 나는 이 정도인 것 같다. ㅠㅠ
1766번: 문제집
첫째 줄에 문제의 수 N(1 ≤ N ≤ 32,000)과 먼저 푸는 것이 좋은 문제에 대한 정보의 개수 M(1 ≤ M ≤ 100,000)이 주어진다. 둘째 줄부터 M개의 줄에 걸쳐 두 정수의 순서쌍 A,B가 빈칸을 사이에 두고 주어진다. 이는 A번 문제는 B번 문제보다 먼저 푸는 것이 좋다는 의미이다. 항상 문제를 모두 풀 수 있는 경우만 입력으로 주어진다.
www.acmicpc.net
가장 쉬운 문제부터 가장 어려운 문제까지 푸는데, '먼저 풀면 좋은 문제'를 고려해야 한다.
제일 먼저 떠오른 해결책은 dfs였다. 1번 문제부터 차례대로 '먼저 풀면 좋은 문제'를 난이도 순으로 모두 푼 다음 본 문제를 풀면 되지 않겠는가?
그러나 이것이 맞았더라면 내가 이 글을 쓸 이유도 없었다. ㅋㅋ
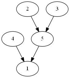
위의 논리의 허점은 문제를 greedy로 접근했다는 것이다. 게시판에 있는 다음 예제를 살펴보자.
5 4
4 1
5 1
2 5
3 5
나의 생각대로 문제를 풀어 보자.
우선 1번 문제를 풀어야 한다. 1번 문제를 풀기 위해 4, 5번 문제를 먼저 풀어야 한다. 4번 문제는 바로 풀 수 있으므로 먼저 풀고, 5번 문제를 풀자. 그런데 5번 문제를 풀려면 2, 3번 문제를 풀어야 한다. 두 문제 모두 바로 풀 수 있으므로 순서대로 2, 3번 문제를 풀고, 5번 문제를 푼다. 이제 1번 문제를 푼다. 따라서 정답은 다음과 같다.
4 2 3 5 1
물론 이것은 틀린 답이다. 어째서 그러한지 그래프를 보면서 분석해 보자.

1번 문제를 풀기 위해 4, 5번 문제를 풀어야 하는 것은 맞다. 하지만 4번 문제를 먼저 푼 것은 잘못되었다. 2, 3번 문제를 먼저 풀 수 있기 때문이다. 따라서 정답은 다음과 같다.
2 3 4 5 1
(적어도 내 생각에는) dfs로는 이 문제를 해결할 수 없다.
할 수 없이 새로운 방법을 찾아야만 했다.
위상 정렬은 그래프에서 해야 하는 일의 "순서"를 찾는 알고리즘이다. 이 문제에 딱 맞는 알고리즘이다..만 사실 떠올리지 못했다.
입력으로부터 그래프를 만들고, 위상 정렬을 수행하면 된다. 여기서 위상 정렬의 구현을 소개하지는 않겠다.

언젠가 이런 문제를 뚝딱 풀어버리는 날이 올까?
'Problem Solving > BOJ' 카테고리의 다른 글
| 2263. 트리의 순회 (0) | 2020.02.02 |
|---|---|
| 13549. 숨바꼭질 3 (0) | 2020.02.02 |
| 11062. 카드 게임 (0) | 2020.01.22 |
| 1958. LCS 3 (0) | 2020.01.19 |
| 3176. 도로 네트워크 (0) | 2020.01.08 |